جامعهی نمونه آماری

روش تعیین جامعهی نمونهی آماری برای تعمیم به کل جامعهی هدف آمار
چرا نمونه گیری
در مطالعات آماری یک یا چند ویژگی در تعداد زیادی افراد یا اعضای یک گروه یا جامعه مورد بررسی قرار میگیرد. به روشی از مطالعهی آماری که در آن تمام اعضای یک جامعه مورد بررسی قرار گیرند، سرشماری گفته میشود.
در برخی موارد جامعه بسیار بزرگ یا حتی نامحدود است، مانند محصولات یک کارخانه- چون هر لحظه به محصولات آن اضافه می شود. و یا گاهی به همه اعضای جامعه دسترسی نداریم، مانند تمام ماهیان آزاد یک رودخانه. و یا بررسی کردن اعضا، باعث از بین رفتن آن می شود، مانند طول عمر لامپ های یک کارخانه. گاهی هم بررسی تمام اعضا، هزینه و زمان بسیار زیادی نیاز دارد، مانند انجام آزمایش ایدز. برای همین محققان به دنبال روشهای علمی بودهاند که مستلزم بررسی تمام اعضا نباشد و قسمتی از جامعه بررسی شود. به این روشهای علمی، نمونهگیری گفته میشود. با بهکارگیری درست این روشها میتوان با دقت مطلوبی به نتایج درست دربارهی اکثریت جامعهی کل رسید.
مزایای نمونهگیری نسبت به سرشماری:
- کاهش هزینه
- سرعت بیشتر
- قابلیت اعتماد
- استفادهی بهتر از منابع
- حفظ واحدهای جامعه
و بسیاری مزایای دیگر
مراحل اصلی که در بررسیهای آماری به روش نمونهای بایستی طی نمود به شرح زیر است:
1. تعیین دقیق و مشخص هدف مورد بررسی
2. تعریف جامعه مورد نمونهگیری و واحدهای آن
3. چگونگی جمعآوری دادهها
4. تعیین میزان دقت
5. ابزار و روش اندازهگیری
6. مشخص كردن چارچوب نمونهگیری
7. انتخاب نمونه
8. انجام نمونهگیری مقدماتی
9. آموزش آمارگران
10. تلخیص و تحلیل دادهها
11. استفاده از اطلاعات بهدستآمده برای بررسیهای آتی

برخی از این مراحل را در این جا توضیح میدهیم:
- تعیین هدف بررسی: هدف بررسی باید روشن و واضح باشد تا از انجام کارهای اضافه و نامربوط خودداری شود.
- تعیین جامعه: با مشخص شدن هدف جامعهی مورد بررسی نیز باید تعیین شود. مثلا اگر هدف تعیین برآورد متوسط عمر لامپهایی باشد كه در یك روز به وسیلهی كارخانهای تولید میشود، تعریف جامعه كاملا روشن است. در حالی كه برای نمونهگیری از جامعهی مزارع كشاورزی، باید وسعت و مرزهای مزارع را تعریف كرد.
- واحدهای نمونهگیری: منظور از واحدهای نمونهگیری، اعضایی از جامعه هستند که میتوانند مورد بررسی قرار گیرند و احتیاج به تعریف واضح دارند به عنوان مثال در عبارت " وسایل نقلیه" بایستی تعریف شود كه منظور از وسیله نقلیه چیست؟ خودروهای شخصی، موتورسیكلت، كامیون و یا دیگر.
- درجهی دقت مطلوب: نتایج یك بررسی نمونهای همیشه با مقداری خطا همراه است، زیرا اولا تنها قسمتی از جامعه مورد اندازهگیری قرار گرفته است و ثانیا اندازهگیریها همیشه با خطا همراهند. مشخص كردن درجه دقت مطلوب نتایج، در تعداد نمونه اهمیت دارد و این کار پیش از آغاز نمونهگیری انجام میشود. در بیشتر موارد خطای 05/0 را مقدار مطلوب در نظر میگیرند. به این معنا که اگر خطای محاسبات آماری کمتر از 05/0 باشد، آن محاسبه یا نتیجهگیری را قابل تعمیمدادن به جامعه میدانند. یا به عبارت دیگر اگر احتمال تصادفی بودن امری کمتر از 05/0 باشد، آن را از نظر آماری معنادار در نظر میگیرند.
- پیش آزمون: تجربه نشان داده است كه قبل از انجام نمونهگیری نهایی، امتحان كارآیی پرسشنامه و یا روشهای موردنظر با مقیاسی كوچك بسیار مفید است. این نمونهگیری كوچك مقدماتی غالبا نتایجی بهدست میدهد كه بر اساس آنها میتوان پرسشنامهها را اصلاح كرد و از بروز اشكالات عمده در نمونهگیری با حجم زیاد جلوگیری نمود. همچنین از نتایج پیش آزمون در تعیین تعداد نمونهی نهایی استفاده میشود.
تعیین تعداد نمونه:
بهترین تعداد نمونه، کوچکترین مقدار ممکن است به طوری که درجهی دقت موردنظر آزمایشگر را تأمین کند. زیرا نمونههای خیلی بزرگ، هزینهی زیادی را در بر دارد و نمونههای خیلی کوچک دقت لازم را ندارد. با استفاده از محاسبات و روشهای آماری بهترین حجم به دست میآید.
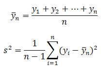
اگر n تعداد اعضای پیشنمونه باشد، با استفاده از پیشنمونهای که تعیین میگردد،
میانگین پیشنمونه و s2- واریانس پیشنمونه، معلوم میشود.

با مشخص شدن برآوردی اولیه از میانگین جامعهی اصلی که با
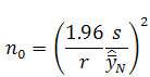
نشان داده میشود و نیز محاسبهی S2 پیشفرض گرفتن r که خطای نسبی نام دارد و عددی بین 0 و 1 است و توسط پژوهشگر تعیین میشود (معمولا حدود 1/0 یا 2/0 در نظر گرفته میشود)، تعداد نمونه با فرمول زیر تعیین میگردد. ابتدا تعداد جامعهی اولیه با توجه به مشخصاتی که از پیشنمونه به دست آمده است، محاسبه میشود.

سپس تعداد لازم برای جامعهی نمونه به روش زیر محاسبه میشود.

تعداد جامعهی نمونه بدون پیشنمونه
با تمام توضیحاتی که داده شد، باید بگویم که در بسیاری موارد امکان پیشنمونهگیری وجود ندارد. اما روشهای نمونهگیری متفاوتی وجود دارد که مجال شرح آنها نیست. در مواردی نیز به دلیل مشخص بودن میانگین جامعهی کل نیازی به اجرای پیشنمونه نمیباشد. در انتها برای انجام پژوهشهای دانشآموزی توصیه میشود که با در نظر گرفتن ویژگیهای متغیرها و پارامترهای مورد بررسی، مشورت با کارشناسان و مطالعهی سایر پژوهشهایی که در حوزههای مرتبط با موضوع شما انجام شده است، تعداد جامعهی نمونه تعیین گردد. در انتها برای تفسیر دادههای آماری و تعمیم آنها به جامعهی کل نیز حتما از مشورت با کارشناسان بهره بگیرید.
بخش پژوهش های دلانش آموزی تبیان،
تهیه: فرزانه موسوی زاده
تنظیم: نسرین صادقی



